Breakfast for Patients with Diabetes
Breakfast for patients with diabetes plays a critical role. Skipping breakfast is a norm these days, but in patients with diabetes, it can have serious consequences. So, why is breakfast important? In a ground-breaking study in 2015, Jakubowicz et al. investigated the role of skipping breakfast on daily glucose and insulin levels.1
Jakubowicz et al. Study Design:
The study enrolled 22 participants with type 2 diabetes (T2D) who were tested on two different days:
- One day eating three structured meals (breakfast, lunch, and dinner).
- One day skipping breakfast but eating lunch and dinner as usual.
Key metabolic markers were measured after lunch and dinner on both days.1
Key Findings:
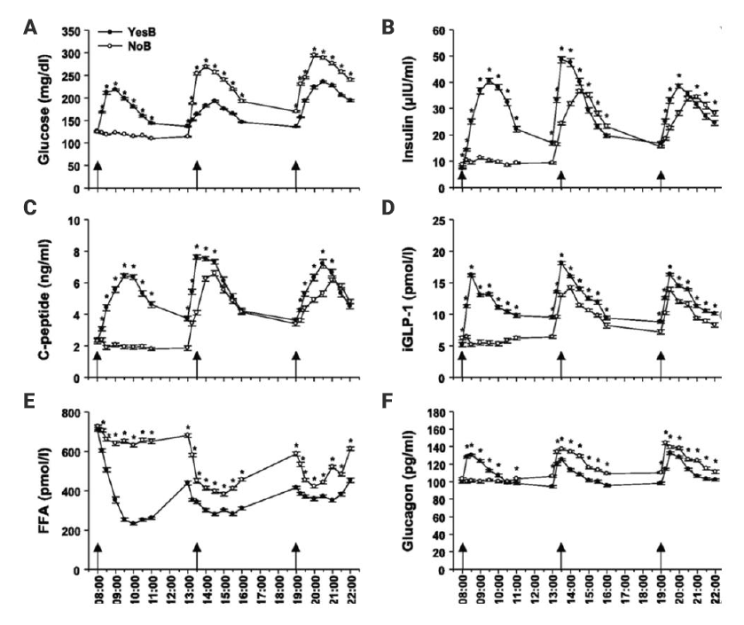
The following figure 1 shows all-day graphs comparing (A) glucose, (B) insulin, (C) C-peptide, (D) iGLP-1, (E) FFA, and (F) glucagon between two groups YesB (the group that had breakfast) and NoB (the group that skipped breakfast). *P < 0.0001.1
Surges in Blood Sugar with No Breakfast:
Figure 1 (A) compares glucose between YesB and NoB. Skipping breakfast resulted in a 36.8% increase in post-lunch glucose levels and a 26.6% increase post-dinner. Blood sugar peaks were higher and lasted longer. So, in the group that skipped breakfast the body struggled to regulate glucose levels throughout the day.1
Reduced Insulin Sensitivity with No Breakfast:
Figure 1 (B) compares insulin between YesB and NoB. Insulin release was delayed and suppressed by 17% after lunch and 7.9% after an evening meal.1
Impaired GLP-1 Levels with No Breakfast
Figure 1 (D) compares GLP-1 levels between YesB and NoB. GLP-1 is an important hormone which triggers the release of insulin to lower glucose levels. In the group that skipped breakfast, GLP-1 was lower after lunch (-19%) and dinner (-16.5%).
Whereas figure 1 (F) compares glucagon levels between YesB and NoB. Glucagon increases blood glucose. In the group that skipped breakfast, glucagon levels were higher after lunch (+14.8%) and dinner (+11.5%). Free fatty acids (FFA) levels were also increased in the NoB group, which further disrupted insulin action.1
Reduction in the "Second Meal Phenomenon" with No Breakfast
In figure 2, Jakubowicz et al. study showed how breakfast prepares the pancreas for improved insulin release in subsequent meals and thus better glucose control throughout the day. In short, skipping breakfast leads to a day of unstable blood glucose levels.1
Breakfast nutrient composition for patients with diabetes
Not all breakfasts are equal. The type of food consumed in the morning matters just as much as eating breakfast itself. As illustrated in figure 3, research by Park YM et al. found that protein-rich breakfasts provide better glycemic stability than carbohydrate-high meals. The high-protein breakfast (green line) enhanced the second-meal insulin response compared to a carbohydrate-rich breakfast (gray line). The high-protein breakfast helped mitigate postprandial glucose spikes following lunch. This supports the "second-meal phenomenon," where protein intake at breakfast improves blood sugar responses to subsequent meals.2
A protein-rich breakfast plays a vital role in metabolic health by increasing satiety, helping to prevent overeating later in the day. It also stabilizes blood sugar levels, reducing post-meal spikes that can contribute to glycemic variability.2
Not All Proteins Are Equal
How different protein sources affect blood sugar:
Figure 4 Comparison of Protein Sources and Blood Sugar
For people with diabetes, whey protein stands out as the best option due to its ability to stimulate insulin release quickly and effectively.3
Diet for Prediabetes and Diabetes
As discussed above, breakfast is important in managing diabetes throughout the entire day. It is equally important in managing the early signs of diabetes especially given the rising prediabetes trend worldwide. Such an approach can help prevent diabetes at the early stages of prediabetes.
Early Symptoms of Diabetes and Prevention
Prediabetes develops silently, and it may go unnoticed as shown in figure 5. In fact, more than 8 in 10 of those who have prediabetes aren’t aware of it. If prediabetes is left untreated, a great number of these individuals go on to develop T2D, heart disease, or stroke. The good news is that prediabetes is reversible with early diagnosis and active treatment.4 Early signs of diabetes can appear as impaired glucose tolerance (IGT) and impaired fasting glucose (IFG). In 2021, there were an estimated 464 million adults (9.1%) who showed IGT, and 298 million adults (5.8%) who showed IFG.5
The Prevalence of Prediabetes
There is a projected increase in 2045 of 638 million (10.0%) for IGT and 414 million (6.5%) for IFG. The prevalence of prediabetes varies among regions. In 2021, North America and the Caribbean reported the highest IGT prevalence, while Southeast Asia had the lowest. Conversely, Southeast Asia had the highest prevalence of IFG, with the Western Pacific region reporting the lowest. These differences among regions highlight the need of region-specific cultural and dietary therapies.1
Diabetes Prevention
How to prevent diabetes? Preventing diabetes in at risk patients starts by making a few lifestyle changes, which can make a substantial difference in lowering the risk of developing T2D. One such change is a diet for diabetes that starts with breakfast of whole grains, healthy fats, and lean proteins. Other lifestyle changes include losing just 5% to 7% of body weight which can cut the risk in half. Exercise also prevents diabetes such as 150 minutes of moderate exercise weekly can improve insulin sensitivity.6
Conclusion
For your patients with prediabetes and diabetes, skipping breakfast is not a little habit—it has a significant metabolic effect. Eating a meal in the morning keeps levels of blood sugar in balance, is protective against insulin resistance, and is a key part of preventing diabetes. Moreover, protein-containing breakfasts, especially those made with whey protein, have a great impact on improving glycemic control.
Learn more about The Role of Supplements, like Whey Protein, in Diabetes Management.
Click HereReferences:
- Jakubowicz D, et al. Diabetes Care. 2015;38:1820-6.
- Park YM, et al. J Nutr. 2015;145:452-8.
- Jakubowicz D, et al. J Nutr Biochem. 2017;49:1-7.
- Centers for Disease Control and Prevention. CDC. https://www.cdc.gov/diabetes/prevention-type-2/truth-about-prediabetes.html
- Bingham M. Diabetes Care. 2023;46:1314. https://diabetesjournals.org/care/article/46/7/1314/151542/In-This-Issue-of-Diabetes-Care
- Centers for Disease Control and Prevention. CDC. https://www.cdc.gov/diabetes/prevention-type-2/prediabetes-prevent-type-2.html#cdc_generic_section_5-prevent-type-2-diabetes
This article entitled The Role of Breakfast in Managing Diabetes sheds light on the role of breakfast in managing blood glucose. New evidence, based on the results of the Jakubowicz et al. Study, confirms the role of breakfast in preventing and managing diabetes. Find out how skipping breakfast can disrupt blood glucose levels throughout the day in patients with prediabetes or diabetes. Also learn what constitutes a metabolically healthy breakfast for your patients.